728x90
문제
이진 트리를 입력받아 전위 순회(preorder traversal), 중위 순회(inorder traversal), 후위 순회(postorder traversal)한 결과를 출력하는 프로그램을 작성하시오.

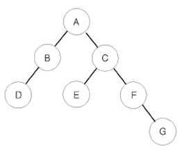
예를 들어 위와 같은 이진 트리가 입력되면,
- 전위 순회한 결과 : ABDCEFG // (루트) (왼쪽 자식) (오른쪽 자식)
- 중위 순회한 결과 : DBAECFG // (왼쪽 자식) (루트) (오른쪽 자식)
- 후위 순회한 결과 : DBEGFCA // (왼쪽 자식) (오른쪽 자식) (루트)
가 된다.
입력
첫째 줄에는 이진 트리의 노드의 개수 N(1 ≤ N ≤ 26)이 주어진다. 둘째 줄부터 N개의 줄에 걸쳐 각 노드와 그의 왼쪽 자식 노드, 오른쪽 자식 노드가 주어진다. 노드의 이름은 A부터 차례대로 알파벳 대문자로 매겨지며, 항상 A가 루트 노드가 된다. 자식 노드가 없는 경우에는 .으로 표현한다.
출력
첫째 줄에 전위 순회, 둘째 줄에 중위 순회, 셋째 줄에 후위 순회한 결과를 출력한다. 각 줄에 N개의 알파벳을 공백 없이 출력하면 된다.
처음에는 배열로 트리를 활용하기 위해 2^(N+1)-1 만큼 배열의 크기를 선언하였는데, 메모리가 과하게 사용되어 시간 초과가 났다.
입력이 알파벳으로 한정된다는 것을 활용해서 2차원 배열을 담아 0에는 자기 자신을, 1에 왼쪽 자식을, 2에 오른쪽 자식을 담았다.
Strng 배열을 선언하여 각 값을 받았고, 각 알파벳의 index는 알파벳-'A'을 한 값으로, A가 0 B가 1 순으로 저장하였다.
package Silver.s2;
import java.io.BufferedReader;
import java.io.IOException;
import java.io.InputStreamReader;
import java.util.StringTokenizer;
public class BOJ_1991_트리순회 {
public static void main(String[] args) throws NumberFormatException, IOException {
BufferedReader br = new BufferedReader(new InputStreamReader(System.in));
int N = Integer.parseInt(br.readLine());
String[][] tree = new String[26][3]; // data left right
tree[0][0] = "A";
for (int i = 0; i < N; i++) {
StringTokenizer st = new StringTokenizer(br.readLine());
String p = st.nextToken();
String left = st.nextToken();
String right = st.nextToken();
int pIdx = p.charAt(0) - 'A';
// 각 알파벳의 index는 A가 0, B가 1 ...
if (!left.equals(".")) {
tree[left.charAt(0) - 'A'][0] = left;
tree[pIdx][1] = left;
}
if (!right.equals(".")) {
tree[right.charAt(0) - 'A'][0] = right;
tree[pIdx][2] = right;
}
} // tree 입력
preOrder(tree, 0);
sb.append("\n");
inOrder(tree, 0);
sb.append("\n");
postOrder(tree, 0);
System.out.println(sb.toString());
}
static StringBuilder sb = new StringBuilder();
static void preOrder(String[][] tree, int i) {
if (tree[i][0] != null) {
sb.append(tree[i][0]);
if (tree[i][1] != null)
preOrder(tree, tree[i][1].charAt(0) - 'A');
if (tree[i][2] != null)
preOrder(tree, tree[i][2].charAt(0) - 'A');
}
}
static void inOrder(String[][] tree, int i) {
if (tree[i][0] != null) {
if (tree[i][1] != null)
inOrder(tree, tree[i][1].charAt(0) - 'A');
sb.append(tree[i][0]);
if (tree[i][2] != null)
inOrder(tree, tree[i][2].charAt(0) - 'A');
}
}
static void postOrder(String[][] tree, int i) {
if (tree[i][0] != null) {
if (tree[i][1] != null)
postOrder(tree, tree[i][1].charAt(0) - 'A');
if (tree[i][2] != null)
postOrder(tree, tree[i][2].charAt(0) - 'A');
sb.append(tree[i][0]);
}
}
}728x90
'문제 풀이 > BOJ' 카테고리의 다른 글
| [백준] 10815 - 숫자 카드 (자바/Java) (0) | 2022.08.25 |
|---|---|
| [백준] 4256 - 트리 (자바/Java) (1) | 2022.08.25 |
| [백준] 1182 - 부분수열의 합 (자바/Java) 재귀 부분집합 (0) | 2022.08.24 |
| [백준] 11725 - 트리의 부모 찾기 (자바/Java) (1) | 2022.08.23 |
| [백준] 2116 - 주사위 쌓기 (자바/Java) (0) | 2022.08.23 |